| Human Genetics - 2019 |
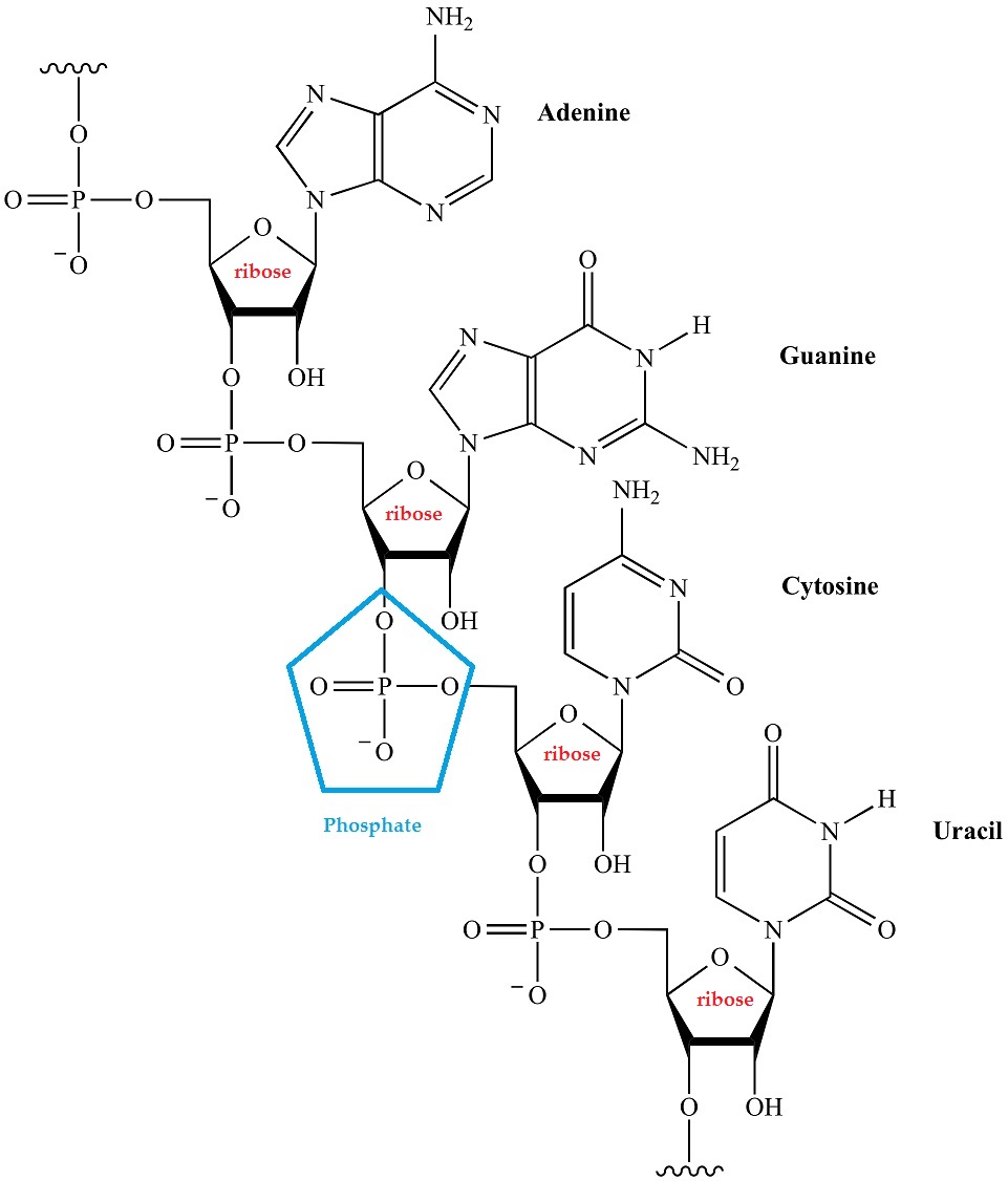
| If a phosphate group (one phosphorus [P] and three oxygens [O] in the |
| blue pentagon) is combined with ribose and one of several possible |
| nucleotides (the four names and shapes along the right edge) the result is ribonucleic acid, commonly known as RNA. |
![]() |
| For the next web page click here |
| For the prior web page click here |
| To return to the genes page click here |
| To return to the home page click here |